谷景電子用貼片共模電感GCM替代ABC的貼片共模電感。谷景電子作為國內電感生產廠家,從事電感生產上已經有十五年之久,在合作過的大多數客戶給予谷景電子的評價都是正向好評。
之前一位客戶聯系上了谷景電子希望我們能夠生產出一款貼片共模電感,用于替代臺灣知名電感生產商ABC千如機電的SF0905250YL貼片共模電感。ABC千如機電在電感生產領域也算是相當著名。
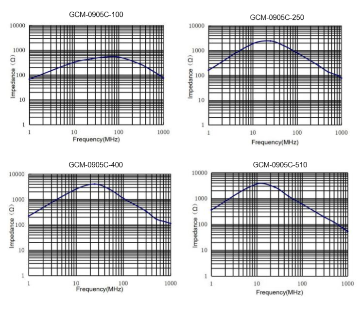
貼片共模電感特性曲線
雖然谷景電子在也生產過許多種貼片共模電感,但是每位客戶的要求都不相同,而這位客戶希望我們生產一款替代ABC千如機電的貼片共模電感。與高端同行相競爭,谷景愿意為之一試,在經過一點時間的試產后,谷景電子將定制好的貼片共模電感GCM-0905C送到客戶手中。
貼片共模電感可靠性測試
客戶經過檢測,這款貼片共模電感GCM-0905C,不單單在參數上達到了要求,在各種實驗中的表現也與ABC的貼片共模電感相媲美,甚至谷景的貼片共模電感GCM-0905C在電感可靠性測試上,還有些略勝于ABC的貼片共模電感。
相比較高昂的ABC電感,客戶對于谷景電子生產的貼片共模電感GCM-0905C相當滿意,節省成本的同時又能夠獲得一樣的性能。
蘇州谷景電子有限公司,專注于設計、研發、銷售高品質功率繞線電感,高頻電感,鐵氧體電感以及相關安規器件電感,并提供完善的技術服務與專業的解決方案。
Y













以質量求生存,以信譽求發展,滿足合同規定及潛在需求!

全國咨詢熱線
0512-66715887